Aton Announces The Discovery Of High Grade Gold-bearing Veins At The West Garida prospect, Including Assays Up To 99.6 G/t Gold
Vancouver, October 17, 2017: Aton Resources Inc. (AAN: TSX-V) (“Aton” or the “Company”) is pleased to provide investors with an update on exploration activities at the West Garida prospect, currently underway at the Company’s 100% owned Abu Marawat Concession (“Abu Marawat” or the “Concession”), located in the Eastern Desert of Egypt.
Highlights:
- Field inspection and sampling of the West Garida prospect has led to the identification of at least 6 gold mineralized quartz veins outcropping at surface;
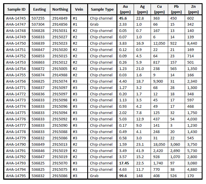
- Initial sampling at West Garida has returned assays up to 99.6 g/t Au from grab samples, and 45.6 g/t Au from channel samples, with abundant visible gold identified from several different mineralized structures.
“The discovery of another potential high grade gold system at our Abu Marawat Concession is hugely exciting, given that it follows on from the other great results in the intrusion related belt. These new discoveries in outcrop reinforce for us the district scale high grade gold potential of our IR belt.” said Mark Campbell, President and CEO of Aton. “The discovery of gold is always an exciting moment. The history of successful gold areas with subsequent producing gold mines starts with a surface discovery, a good gold assay and later exploration leading to the definition of deposits. Aton has now commenced preparations for diamond drilling in the area to test the down dip extent of the gold mineralization.”
West Garida Prospect
The Wadi Garida prospect is located approximately 3km ENE of the Company’s Hamama West mineraldeposit (see Figure 1), and is easily accessed along the geophysics road constructed earlier this year. West Garida is located approximately 500m from the western margin of a Younger Granite intrusion, and is along strike from the Hamama West deposit, located in a stratigraphic sequence that strikes at about 060° - 070°, and dips to the north at between 70° and 90°. The general geology of the West Garida area is similar to that at the Hamama West deposit, and is characterized by a sequence of intermediate to felsic volcanic and pyroclastic rocks that are cut by a number of felsic sub-volcanic intrusive bodies. A younger series of andesitic dykes is also seen in the general area.
Mineralization at West Garida occurs in shallow dipping, narrow gold-bearing quartz veins, and recent mapping by Aton geologists has identified the presence of three principle gold bearing veins, Veins #1 to #3, as well as a further three to four minor veins (see Figure 2). Veins #1 to #5 have all been worked in ancient times, and there are also extensive ancient superficial workings in colluvium.
Vein #1 is the most easterly of the veins, striking almost due east, dipping to the south at between 8° and 15°, and can be traced along strike for about 120m (see Figure 2). It consists of a fairly clear quartz vein with sharp margins, and contains pseudomorphs and larger lenses of goethite and hematite after pyrite, which carry scattered grains of visible gold. The vein is hosted by a very fine grained aphanitic felsic volcanic rock which is phyllic altered and bleached for about 3m above the vein, the extent of the alteration below is not seen. The in situ outcrop of the vein is limited and disturbed by ancient workings, but where it is visible a channel sample taken across the vein (AHA-14745) returned assays of 45.6g/t Au and 22.8g/t Ag, while a grab sample (AHA-14747) from the altered wallrock returned an assay of 2.33g/t Au.

Figure 1: Abu Marawat regional geology, showing the location of West Garida
Vein #2 is the most laterally extensive at outcrop, it strikes ESE, dips to the south at 10-15° and can be traced for about 130m along strike (see Figure 2). The vein has sharp margins locally but small stringers of quartz, sericite and secondary iron oxides penetrate the intensely phyllic altered wallrock for a short distance. The actual vein is typically less than a metre wide, and consists principally of quartz with a little accessory pyrite and traces of chalcopyrite, galena and sphalerite. The host rock is a very characteristic quartz porphyry. Several channel samples have been taken across the outcrop of Vein #2 and returned assays of up to 3.83g/t Au, 41.9 g/t Ag and 1.8% Cu.
Vein #3 is the most intensely worked and although it can be traced for about 70m along strike (see Figure 2) no complete section is now visible. The mineralized structure appears to consist of a gently westward dipping shear zone with a wide alteration halo and a parallel quartz vein impregnated with earthy hematite, sericite and gold; copper minerals are scarce. It appears to dip at between 10° and 15° to the west, and the total thickness is uncertain, but possibly a metre or more. The vein is hosted mainly by coarse andesitic tuff breccias. Free gold is locally abundant in both the quartz vein and in the phyllic altered wallrock. The gold in the wallrock is always very fine grained, mossy and deep yellow while the gold in the vein quartz can be yellow to white (electrum) and grains can reach 1-2mm. Several channel samples were taken across the reasonably well exposed and altered shear zone and quartz lenses within it, which returned assays ranging up to 17.45g/t Au and 22.5g/t Ag (sample AHA-14793). A single grab sample taken from a poorly exposed vuggy quartz vein, containing abundant visible gold and electrum, returned assays of 99.6g/t Au and 148 g/t Ag (sample AHA-14795). Channel samples from the altered wallrock adjacent to the vein assayed up to 5.03 g/t Au (sample AHA-14776).
On the plateau above Vein #3 there are a series of fairly extensive, shallow pits that represent ancient colluvial workings. These workings contain very little quartz debris and as they occur at a higher elevation than any of the vein outcrops, this suggests the presence of further mineralization located in the hangingwall of Vein #3.

Figure 2: Sampling and trench plan of the West Garida project (quartz veins: yellow)
High grade gold mineralization at West Garida occurs in several narrow shallow dipping quartz veins, and also appears to extend over a distance of several metres at lower grades into altered wallrock adjacent to the Au-bearing veins. Representative sampling of the structures is difficult due to disturbance from the ancient workings, but visible gold is frequently abundant where the mineralised structures can be sampled. There is also evidence for the presence of additional mineralised veins and structures vertically above, and in the hangingwall, of the principle veins. 25 samples were collected during the current sampling programme and assay results are provided in Appendix A.
Due to the proximity of the West Garida prospect to Hamama West, the shallow dip of the structures, and the potential presence of several zones of high grade mineralisation very close to surface it is anticipated that the West Garida prospect will be drill tested in the upcoming diamond drilling programme, which will test some of the regional targets and prospect areas.
Activity update:
- 4 120kg bulk composite samples of oxide and transitional mineralised material from the Hamama West deposit have been delivered to Wardell Armstrong International in the UK for an extended metallurgical testwork programme, designed to both confirm the potential to recover gold from the Hamama West material using conventional heap leach technology and to subsequently optimize the leach conditions. The testwork programme will include whole ore cyanide leach testing, coarse ore bottle roll testing, percolation and agglomeration testing, and column leach testing.
- Further sampling programs have been undertaken over several of the regional prospects during the summer months, including Sir Bakis, Semna, Abu Gaharish, Bohlog and Massaghat, and results from these sampling programs are expected to be received shortly.
About Aton Resources Inc.
Aton Resources Inc. (AAN: TSX-V) is focused on its 100% owned Abu Marawat Concession (“Abu Marawat”), located in Egypt’s Arabian-Nubian Shield, approximately 200 km north of Centamin’s Sukari gold mine. Aton has identified a 40 km long gold mineralized trend at Abu Marawat, anchored by the Hamama deposit in the west and the Abu Marawat deposit in the east, containing numerous gold exploration targets, including three historic British mines. Aton has identified several distinct geological trends within Abu Marawat, which display potential for the development of intrusion related and orogenic gold mineralization, VMS precious and base metal mineralization, and epithermal-IOCG precious and base metal mineralization. Abu Marawat is over 738km2 in size and is located in an area of excellent infrastructure, a four-lane highway, a 220kV power line, and a water pipeline are in close proximity.
Qualified Person
The technical information contained in this News Release was prepared by Roderick Cavaney BSc, MSc (hons), MSc (Mining & Exploration Geology), FAusIMM, SEG, GSA, SME, Vice President, Exploration, of Aton Resources Inc. Mr. Cavaney is a qualified person (QP) under National Instrument 43-101 Standards of Disclosure for Mineral Projects.
For more information on Aton Resources, visit us at www.atonresources.com or please contact:
Mark Campbell
President and Chief Executive Officer
Tel: +1-936-689-2589
Email: mcampbell@atonresources.com
Note Regarding Forward-Looking Statements
Some of the statements contained in this release are forward-looking statements. Since forward- looking statements address future events and conditions; by their very nature they involve inherent risks and uncertainties. Actual results in each case could differ materially from those currently anticipated in such statements.
Neither TSX Venture Exchange nor its Regulation Services Provider (as that term is defined in policies of the TSX Venture Exchange) accepts responsibility for the adequacy or accuracy of this release.
Appendix A – West Garida surface samples, assay data
